セミナー・ウェビナー開催情報
ラーニングコンテンツ
各商品の操作方法や技術資料等は、各商品ページのラーニングメニュー内にございます。
統計・計量経済
AI解析
科学技術
結晶構造
質的分析
画像解析
ライブラリ
お電話でのお問い合わせ
平日 9:00~18:00
メールでのお問い合わせはこちら
体験版ダウンロード
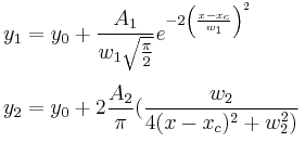
GaussianLorentz:1つの独立変数に2つの従属変数があり、パラメータを共有します
HillBurk:2つの独立変数に2つの従属変数があり、パラメータを共有はしません
LineExp:1つの独立変数に2つの従属変数があり、パラメータを共有はしません